Address: No. 92, Xidazhi Street, Nangang District, Harbin
JOIN-USHIT sincerely invite talents from both home and aproad to join in the new course of constructing first-class universities. |
Recently, the research group of Prof. Bai Yuelei from the team led by Academician He Xiaodong of the School of Astronautics, in collaboration with the research group of Dr. Laurent Ponson of Sorbonne University, based on the study of crack deformation and by analogy with other physical interface movements, discovered the wave regime transition in interface deformation movement and further revealed the underlying mechanism. The relevant research results were published in the Journal of the Mechanics and Physics of Solids under the title Dynamic Forcing of Crack Fronts: From Non-Local Elasticity to Shock Wave Behavior.
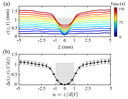
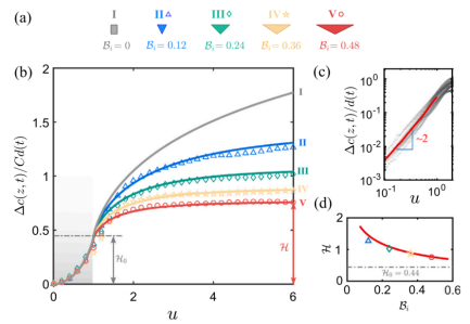
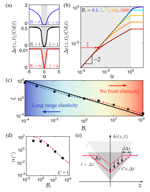
The motion of deforming interfaces underlies a myriad of phenomena such as phase transformation, ferromagnetism, wetting, superconductivity, etc. It also impacts the materials’ resistance to failure, that takes place through the propagation of a crack that can deform under the effect of microstructural heterogeneities. These mechanisms are generally described in the quasi-static framework for which long-range crack front elasticity prevails. Then, how do cracks deform? Is there a limit speed to this deformation? And what happens when a crack is forced to deform beyond this limit speed? These basic questions underly the fracture behavior of materials and a myriad of phenomena involving the motion of an elastic interface.






A fracture model experiment for heterogeneous materials was designed to track the forced deformation of a crack front at a prescribed speed v =
. A theoretical model of dynamic forced damping at the crack front was established and validated. This model reveals the deformation mechanism of the crack front as a function of the forced velocity. Furthermore,it was discovered that when the forcing speed significantly exceeds the intrinsic deformation speed of the crack, a shock wave phenomenon similar to the Mach cone in compressible fluids appears at the crack front. The mechanism of this wave state transition was explained by introducing a dynamic elastic length. This discovery broadly transcends the quasi-static assumption involved in the motion of elastic interfaces.






The paper's first author is Hao Bingbing, a doctoral student at Harbin Institute of Technology. The corresponding authors are Professor Bai Yuelei of Harbin Institute of Technology and Dr. Laurent Ponson, a researcher at Sorbonne University & CNRS. Co-authors include Ashwij Mayya and Aditya Vasudevan, postdoctoral researcher at Sorbonne University, and Julien Chopin, an associate professor at Universidade Federal da Bahia.
一审:宋子畅、沈千舒
二审:陈东萍
三审:董永康